General overview
Naegleria is a free-living amoeboflagellate that has three stages in its life cycle: trophozoite, cyst, and a temporary flagellate stage. Naegleria fowleri, a human pathogen, is thermophilic, tolerating temperatures of 40OC-45OC, while another species Naegleria gruberi is nonpathogenic, with an optimal growth temperature of 22OC-35OC. Other known nonpathogenic species include Naegleria lovaniensis, Naegleria jadini, and Naegleria australiensis, although Naegleria australiensis italica has been shown to be a highly pathogenic subspecies in experimental animals. Naegleria fowleri is highly pathogenic and death may follow within a few days after the symptom onset (Ma et al. 1990).
Sources for Naegleria have been reported as water, soil, sewage sludge, cooling towers, nasal and throat swabs, hospital hydrothermal pools, and swimming pools. Naegleria fowleri, the most pathogenic species, has been isolated frequently from thermally polluted waters and sewage wastes. Most human infections with Naegleria fowleri have been associated with swimming in warm waters, but also with the sources of tap water and hot baths (Ma et al. 1990).
Summary Data
Adams et al. (1976) challenged three groups of male DUB/ICR mice intravenously with graded doses of Naegleria fowleri LEE strain and the survival was monitored for two weeks.
Haggerty and John (1978) inoculated male DUB/ICR mice with Naegleria fowleri LEE strain via intravenous route and monitored the survival for three weeks.
Recommended Model
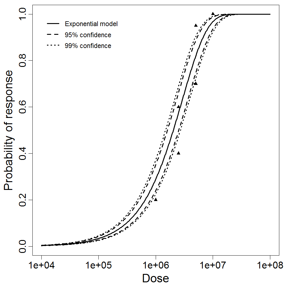
It is recommended that the pooled experiments 253 and 254 should be used as the best dose-response model. Both strains are common in outbreaks. The pooling narrows the range of the confidence region of the parameter estimates and enhances the statistical precision.
| ID | Exposure Route | # of Doses | Agent Strain | Dose Units | Host type | Μodel | LD50/ID50 | Optimized parameters | Response type | Reference |
|---|---|---|---|---|---|---|---|---|---|---|
| 253 | intravenous | 3.00 | LEE strain | no of trophozoites | mice | exponential | 1.64E+06 | k = 4.21E-07 | death |
John, D. T., & Hoppe, K. L. (1990). Susceptibility of Wild Mammals to Infection with Naegleria fowleri. The Journal of Parasitology, 76, 6. |
| 253, 254 | intravenous | 7.00 | LEE strain | no of trophozoites | mice | exponential | 2.03E+06 | k = 3.42E-07 | death |
Adams, A. C., John, D. T., & Bradley, S. G. (1976). Modification of resistance of mice to Naegleria fowleri infections. Infection and Immunity, 13, 1387–1391. Retrieved from http://iai.asm.org/content/13/5/1387.full.pdf+html |
| 254 | intravenous | 4.00 | LEE strain | no of trophozoites | mice | exponential | 2.26E+06 | k = 3.07E-07 | death |
Couch, R. B., Cate, T. R., Douglas, R. G., Gerone, P. J., & . (1966). Effect of route of inoculation on experimental respiratory viral disease in volunteers and evidence for airborne transmission. Bacteriological Reviews, 30, 3. |
|
|
||||||||||||||||||||||
|
||||||||||||||||||||||||||||||||||||||

Parameter histogram for exponential model (uncertainty of the parameter)

Exponential model plot, with confidence bounds around optimized model
|
|
||||||||||||||||||||||
|
||||||||||||||||||||||||||||||||||||||

Parameter histogram for exponential model (uncertainty of the parameter)

Exponential model plot, with confidence bounds around optimized model
|
|
||||||||||||||||||||||
|
||||||||||||||||||||||||||||||||||||||

Parameter histogram for exponential model (uncertainty of the parameter)

Exponential model plot, with confidence bounds around optimized model