General overview of prion and prion diseases
Prions are 'self-replicating' basic proteins of small molecular weight. Prions form a new class of infectious agents responsible for a number of slow degenerative central nervous system diseases of humans and other animal species. The transmissible spongiform encephalopathies (TSEs) are a group of progressive neurological prion diseases, including scrapie in sheep and goats, bovine spongiform encephalopathy (BSE) in cattle and Creutzfeldt-Jakob disease (CJD) in humans.
Public awareness of prion diseases have been raised after an outbreak of BSE occurred among cattle in many European countries and scientific evidence indicated the foodborne transmission of BSE to humans.
The disease is transmitted to humans via meats contaminated with the brain or spinal cords of infected carcasses.
http://www.cdc.gov/ncidod/dvrd/prions/
Summary Data
Diringer et al. (1998) inoculated outbred Syrian hamsters orally with graded doses of scrapie agent. The infectious agent was prepared from the brains of scrapied hamsters at the terminal stage of disease.
Jacquemot et al. (2005) exposed C57BL/6 mice to mouse-adapted scrapie strain C506M3 via the intraperitoneal route. The inoculum was a brain homogenate at 10% (wt/vol) in 5% glucose solution from a mouse with scrapie at the terminal stage of disease.
Taylor et al. (1995) injected Weanling RIII/FaDk-ro mice with pooled BSE-infected brain. They measured the titer of infectivity by bioassay in mice. The infectious agent was prepared from the brains of 861cattle with suspected BSE obtained between August and November 1990 from five veterinary centers throughout England.
Recommended Model
It is recommended that experiment 250 should be used as the best dose response model. The exposure was oral route which is a better representation of an actual release scenario.

| ID | Exposure Route | # of Doses | Agent Strain | Dose Units | Host type | Μodel | LD50/ID50 | Optimized parameters | Response type | Reference |
|---|---|---|---|---|---|---|---|---|---|---|
| 250 | oral | 5.00 | scrapie strain 263k | LD50 i.c. | hamsters | beta-Poisson | 1.04E+05 | a = 1.76E+00 N50 = 1.04E+05 | death |
Jacquemot, C. ., Cuche, C. ., Dormont, D. ., & Lazarini, F. . (2005). High Incidence of Scrapie Induced by Repeated Injections of Subinfectious Prion Doses. Journal of Virology, 79(14). https://doi.org/10.1128/JVI.79.14.8904-8908.2005 |
| 251 | intraperitoneal | 3.00 | scrapie strain C506M3 | LD50 i.c. | mice | exponential | 2.89E+04 | k = 2.4E-05 | death |
Taylor, D. M., Woodgate, S. L., & Atkinson, M. J. (1995). Inactivation of the bovine spongiform encephalopathy agent by rendering procedures. Veterinary Record, 137(24). Retrieved from https://pubmed.ncbi.nlm.nih.gov/8746849/ |
| 252 | unknown type of injection | 4.00 | BSE agent | ID50 unit | mice | exponential | 1 | k = 6.93E-01 | infection |
John, D. T., & Hoppe, K. L. (1990). Susceptibility of Wild Mammals to Infection with Naegleria fowleri. The Journal of Parasitology, 76, 6. |
|
|
||||||||||||||||||||||
|
||||||||||||||||||||||||||||||

Parameter scatter plot for beta Poisson model ellipses signify the 0.9, 0.95 and 0.99 confidence of the parameters.

beta Poisson model plot, with confidence bounds around optimized model
|
|
||||||||||||||||||||||
|
||||||||||||||||||||||||||||||||||||||

Parameter histogram for exponential model (uncertainty of the parameter)

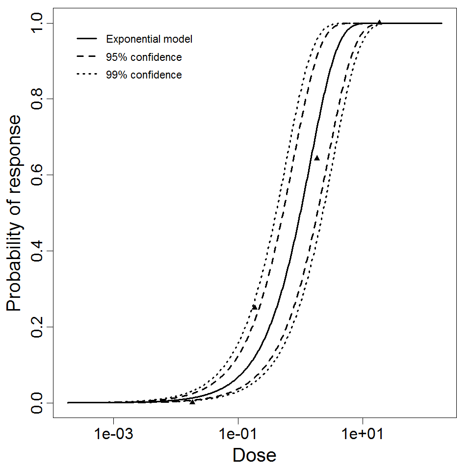
Exponential model plot, with confidence bounds around optimized model
|
|
||||||||||||||||||||||
|
||||||||||||||||||||||||||||||||||||||

Parameter histogram for exponential model (uncertainty of the parameter)

Exponential model plot, with confidence bounds around optimized model